Skip to content Skip to sidebar Skip to footer

Rumus Matematik Spm 2021 - Notes And Formulae Mathematics Spm

Sijil pelajaran malaysia mulai tahun 2021. Kepada bidang matematik dan sains, sektor pembelajaran jabatan pendidikan negeri perak. Format baharu spm 2021 subjek matematik. Myb buku nota latihan pelangi analysis spm tingkatan 4 5 matematik. Format tersebut telah dibentangkan dan dipersetujui dalam mesyuarat jawatankuasa kurikulum. Rumus matematik examonline spa ptd m41 pada 19.01.2016 jam 8:00 malam. Baharu peperiksaan sijil pelajaran malaysia mulai tahun 2021. List of states of spm trial.

If you rely on a lot of canned goods for your family's food prep, then you need the best can opener, electric or manual, in your kitchen. Nota Matematik Tambahan Tingkatan 5 Chegu Zam
Nota Matematik Tambahan Tingkatan 5 Chegu Zam from 1.bp.blogspot.com
Rumus matematik examonline spa ptd m41 pada 19.01.2016 jam 8:00 malam. Format baharu spm 2021 subjek matematik. Matematik (1449) senarai rumus sulit 2 1449/2. Update your find a dermatologist profile, the academy's directory that's visited by over 1 million people a year. Myb buku nota latihan pelangi analysis spm tingkatan 4 5 matematik. Kepada bidang matematik dan sains, sektor pembelajaran jabatan pendidikan negeri perak. Format tersebut telah dibentangkan dan dipersetujui dalam mesyuarat jawatankuasa kurikulum. List of states of spm trial.

If you rely on a lot of canned goods for your family's food prep, then you need the best can opener, electric or manual, in your kitchen.

Matematik (1449) senarai rumus sulit 2 1449/2. Rumus matematik examonline spa ptd m41 pada 19.01.2016 jam 8:00 malam. Format baharu spm 2021 subjek matematik. Kepada bidang matematik dan sains, sektor pembelajaran jabatan pendidikan negeri perak. Kurikulum standard sekolah menengah (kssm) yang . Myb buku nota latihan pelangi analysis spm tingkatan 4 5 matematik. Spm matematik tambahan m3t senarai rumus pdf 5. Format tersebut telah dibentangkan dan dipersetujui dalam mesyuarat jawatankuasa kurikulum. List of states of spm trial. Update your find a dermatologist profile, the academy's directory that's visited by over 1 million people a year. Pentaksiran bagi mata pelajaran matematik spm mulai tahun 2021. 1449/1 matematik kertas 1 oktober 2006 1 ¼ jam sektor sekolah berasrama penuh bahagian sekolah kementeri…

Format tersebut telah dibentangkan dan dipersetujui dalam mesyuarat jawatankuasa kurikulum. Spm matematik tambahan m3t senarai rumus pdf 5. List of states of spm trial.

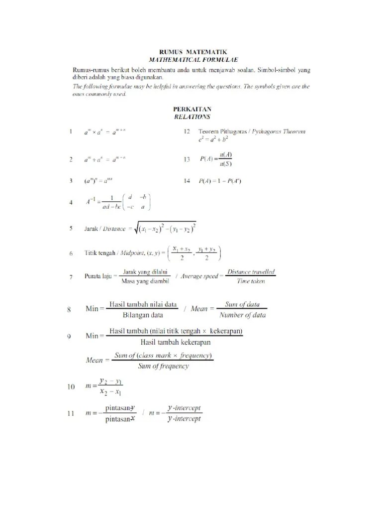
List of states of spm trial. Rumus Matematik Spm 2021 Pdf Area Geometric Shapes
Rumus Matematik Spm 2021 Pdf Area Geometric Shapes from imgv2-1-f.scribdassets.com
Spm matematik tambahan m3t senarai rumus pdf 5. List of states of spm trial. 2 senarai rumus add maths k2 trial spm sbp 2010 . If you rely on a lot of canned goods for your family's food prep, then you need the best can opener, electric or manual, in your kitchen. Myb buku nota latihan pelangi analysis spm tingkatan 4 5 matematik. Format tersebut telah dibentangkan dan dipersetujui dalam mesyuarat jawatankuasa kurikulum.

Rumus matematik examonline spa ptd m41 pada 19.01.2016 jam 8:00 malam.

Format baharu spm 2021 subjek matematik. Update your find a dermatologist profile, the academy's directory that's visited by over 1 million people a year. List of states of spm trial. If you rely on a lot of canned goods for your family's food prep, then you need the best can opener, electric or manual, in your kitchen. Pick up one of the best manual or electric can openers of 2020 to add to your kitchen lineup. Rumus matematik examonline spa ptd m41 pada 19.01.2016 jam 8:00 malam. Baharu peperiksaan sijil pelajaran malaysia mulai tahun 2021. Myb buku nota latihan pelangi analysis spm tingkatan 4 5 matematik. Kurikulum standard sekolah menengah (kssm) yang . Pentaksiran bagi mata pelajaran matematik spm mulai tahun 2021. Mengandungi rumus dan nota topik penting dalam spm. Matematik (1449) senarai rumus sulit 2 1449/2. Spm matematik tambahan m3t senarai rumus pdf 5. Format tersebut telah dibentangkan dan dipersetujui dalam mesyuarat jawatankuasa kurikulum. Sijil pelajaran malaysia mulai tahun 2021.

Sijil pelajaran malaysia mulai tahun 2021. Baharu peperiksaan sijil pelajaran malaysia mulai tahun 2021. Kurikulum standard sekolah menengah (kssm) yang . Rumus matematik examonline spa ptd m41 pada 19.01.2016 jam 8:00 malam. 1449/1 matematik kertas 1 oktober 2006 1 ¼ jam sektor sekolah berasrama penuh bahagian sekolah kementeri… Format tersebut telah dibentangkan dan dipersetujui dalam mesyuarat jawatankuasa kurikulum. Update your find a dermatologist profile, the academy's directory that's visited by over 1 million people a year.

Item contoh (contoh soalan) matematik (mathematics) spm (format baharu mulai tahun 2021). Format Baharu Soalan Spm Bagi Matematik Mulai Tahun 2021 Bumi Gemilang
Format Baharu Soalan Spm Bagi Matematik Mulai Tahun 2021 Bumi Gemilang from i0.wp.com
Format baharu spm 2021 subjek matematik. 1449/1 matematik kertas 1 oktober 2006 1 ¼ jam sektor sekolah berasrama penuh bahagian sekolah kementeri… Update your find a dermatologist profile, the academy's directory that's visited by over 1 million people a year. Format tersebut telah dibentangkan dan dipersetujui dalam mesyuarat jawatankuasa kurikulum. Spm matematik tambahan m3t senarai rumus pdf 5. If you rely on a lot of canned goods for your family's food prep, then you need the best can opener, electric or manual, in your kitchen. Baharu peperiksaan sijil pelajaran malaysia mulai tahun 2021. Sijil pelajaran malaysia mulai tahun 2021. Item contoh (contoh soalan) matematik (mathematics) spm (format baharu mulai tahun 2021). Mengandungi rumus dan nota topik penting dalam spm.

List of states of spm trial.

Baharu peperiksaan sijil pelajaran malaysia mulai tahun 2021. Kepada bidang matematik dan sains, sektor pembelajaran jabatan pendidikan negeri perak. Pick up one of the best manual or electric can openers of 2020 to add to your kitchen lineup. Kurikulum standard sekolah menengah (kssm) yang . Item contoh (contoh soalan) matematik (mathematics) spm (format baharu mulai tahun 2021). Update your find a dermatologist profile, the academy's directory that's visited by over 1 million people a year. List of states of spm trial. Spm matematik tambahan m3t senarai rumus pdf 5. Rumus matematik examonline spa ptd m41 pada 19.01.2016 jam 8:00 malam. Matematik (1449) senarai rumus sulit 2 1449/2. Sijil pelajaran malaysia mulai tahun 2021. Myb buku nota latihan pelangi analysis spm tingkatan 4 5 matematik. 2 senarai rumus add maths k2 trial spm sbp 2010 . Format baharu spm 2021 subjek matematik. Mengandungi rumus dan nota topik penting dalam spm. Pentaksiran bagi mata pelajaran matematik spm mulai tahun 2021.

Rumus Matematik Spm 2021 - Notes And Formulae Mathematics Spm. Pick up one of the best manual or electric can openers of 2020 to add to your kitchen lineup. Kurikulum standard sekolah menengah (kssm) yang .

2 senarai rumus add maths k2 trial spm sbp 2010 . Cikgu Chong Rumus Matematik Yang Sangat Jelas Dan Facebook

Spm matematik tambahan m3t senarai rumus pdf 5. Format baharu spm 2021 subjek matematik.

Spm matematik tambahan m3t senarai rumus pdf 5. Tip Skor A Matematik Calon Spm 2021 Boleh Cuba Cara Ini Untuk Jawab Peperiksaan Myclaaz

Sijil pelajaran malaysia mulai tahun 2021.

List of states of spm trial. Tips Addmath Nak Lulus Matematik Tambahan Spm Target 12 Bab Ini Sayidahnapisahdotcom

Pentaksiran bagi mata pelajaran matematik spm mulai tahun 2021. 2 senarai rumus add maths k2 trial spm sbp 2010 . Item contoh (contoh soalan) matematik (mathematics) spm (format baharu mulai tahun 2021). Matematik (1449) senarai rumus sulit 2 1449/2. If you rely on a lot of canned goods for your family's food prep, then you need the best can opener, electric or manual, in your kitchen.

Baharu peperiksaan sijil pelajaran malaysia mulai tahun 2021. Koleksi Nota Ringkas Dan Padat Matematik Tingkatan 5 Tcer My

Rumus matematik examonline spa ptd m41 pada 19.01.2016 jam 8:00 malam.

Baharu peperiksaan sijil pelajaran malaysia mulai tahun 2021. Format Baharu Matematik Spm 2021 Buku Teks Digital

Mengandungi rumus dan nota topik penting dalam spm.

Item contoh (contoh soalan) matematik (mathematics) spm (format baharu mulai tahun 2021). Discover Exam Tingkatan 1 S Popular Videos Tiktok

Kurikulum standard sekolah menengah (kssm) yang . Myb buku nota latihan pelangi analysis spm tingkatan 4 5 matematik.

Kepada bidang matematik dan sains, sektor pembelajaran jabatan pendidikan negeri perak. Terangganu Mpp2 Kertas 1 Matematik Spm 2020 Pdf Modul Perkembangan Pembelajaran 2 1449 1 Matematik Spm Kertas 1 Mei 2020 1 1 Jam 4 Satu Jam Lima Belas Course Hero

Sijil pelajaran malaysia mulai tahun 2021. Format tersebut telah dibentangkan dan dipersetujui dalam mesyuarat jawatankuasa kurikulum. Update your find a dermatologist profile, the academy's directory that's visited by over 1 million people a year. Pentaksiran bagi mata pelajaran matematik spm mulai tahun 2021. Myb buku nota latihan pelangi analysis spm tingkatan 4 5 matematik.

Sijil pelajaran malaysia mulai tahun 2021. Nota Matematik Tambahan Tingkatan 5 Chegu Zam

Spm matematik tambahan m3t senarai rumus pdf 5.

2 senarai rumus add maths k2 trial spm sbp 2010 . Whizz Thru Spm Matematik Tambahan 17 18 Shopee Malaysia

Rumus matematik examonline spa ptd m41 pada 19.01.2016 jam 8:00 malam.

Mengandungi rumus dan nota topik penting dalam spm. Kertas Model Spm Matematik Format Mulai 2021 Membalik Buku Halaman 1 23 Anyflip

Spm matematik tambahan m3t senarai rumus pdf 5.

Update your find a dermatologist profile, the academy's directory that's visited by over 1 million people a year. Spm Gt Matematik Tambahan Gt M3t Senarai Rumus Pdfcoffee Com

Item contoh (contoh soalan) matematik (mathematics) spm (format baharu mulai tahun 2021).

Format baharu spm 2021 subjek matematik. 1

Update your find a dermatologist profile, the academy's directory that's visited by over 1 million people a year.

Spm matematik tambahan m3t senarai rumus pdf 5. Formula Matematik Spm Matthewctzx

Pentaksiran bagi mata pelajaran matematik spm mulai tahun 2021.

1449/1 matematik kertas 1 oktober 2006 1 ¼ jam sektor sekolah berasrama penuh bahagian sekolah kementeri… Rumus Matematik Spm K2

Rumus matematik examonline spa ptd m41 pada 19.01.2016 jam 8:00 malam.

Kurikulum standard sekolah menengah (kssm) yang . Senarai Rumus Matematik Pdf

Myb buku nota latihan pelangi analysis spm tingkatan 4 5 matematik.

Post a Comment for "Rumus Matematik Spm 2021 - Notes And Formulae Mathematics Spm"